The commutant of fermionic Gaussian unitaries

By: Paolo Braccia, N. L. Diaz, Martin Larocca, M. Cerezo, Diego García-Martín

In this work, we characterize the $t$-th order commutants of fermionic Gaussian unitaries and of their particle-preserving subgroup acting on $n$ fermionic modes. These commutants govern Haar averages over the corresponding groups and therefore play a central role in fermionic randomized protocols, invariant theory, and resource quantification. Using Howe dualities, we show that the particle-preserving commutant is generated by generalized co... more
In this work, we characterize the $t$-th order commutants of fermionic Gaussian unitaries and of their particle-preserving subgroup acting on $n$ fermionic modes. These commutants govern Haar averages over the corresponding groups and therefore play a central role in fermionic randomized protocols, invariant theory, and resource quantification. Using Howe dualities, we show that the particle-preserving commutant is generated by generalized copy-hopping operators, while that for general Gaussian commutant is generated by generalized quadratic Majorana bilinears together with parity. We then derive closed formulas for the dimensions of both commutants as functions of $t$ and $n$, and develop constructive Gelfand--Tsetlin procedures to obtain explicit orthonormal bases, with detailed low-$t$ examples. Our framework also clarifies the structure of replicated fermionic states and connects naturally to measures of fermionic correlations, generalized Plücker-type constraints, and the stabilizer entropy of fermionic Gaussian states. These results provide a unified algebraic description of higher-order invariants for fermionic Gaussian dynamics. less
Searching for dark matter X-ray lines from the Large Magellanic Cloud with eROSITA

By: Jorge Terol Calvo, Marco Taoso, Andrea Caputo, Michela Negro, Marco Regis

We perform a search for an X-ray monochromatic line arising from dark matter (DM) decay in the halo of the Large Magellanic Cloud. An emission line can be expected from two well-motivated DM candidates: sterile neturinos and axion-like particles (ALPs). We analyze the eROSITA-DE DR1 datasets in the energy range between 1 and 9 keV. No evidence for a DM line is found, and we set lower limits on the DM lifetime. We then recast these bounds into... more
We perform a search for an X-ray monochromatic line arising from dark matter (DM) decay in the halo of the Large Magellanic Cloud. An emission line can be expected from two well-motivated DM candidates: sterile neturinos and axion-like particles (ALPs). We analyze the eROSITA-DE DR1 datasets in the energy range between 1 and 9 keV. No evidence for a DM line is found, and we set lower limits on the DM lifetime. We then recast these bounds into upper limits on the active-sterile neutrino mixing angle $\sin^2(2θ)$ and on the ALP to photon coupling $g_{aγ}$, for DM masses between 2 and 18 keV. These results set new strong constraints for masses below 5 keV. less
Isentropic hybrid stars in the Nambu-Jona-Lasinio model: effects of neutrino trapping

By: Andrea Sabatucci, Armen Sedrakian

Binary neutron star mergers and proto-neutron stars provide unique environments where dense matter is hot, lepton rich, and potentially undergoes a transition from hadronic to deconfined quark matter. We investigate the thermodynamics and stellar properties of hybrid matter under such conditions. The hadronic phase is described within a covariant density functional framework, while the quark phase is modeled using a Nambu-Jona-Lasinio (NJL) m... more
Binary neutron star mergers and proto-neutron stars provide unique environments where dense matter is hot, lepton rich, and potentially undergoes a transition from hadronic to deconfined quark matter. We investigate the thermodynamics and stellar properties of hybrid matter under such conditions. The hadronic phase is described within a covariant density functional framework, while the quark phase is modeled using a Nambu-Jona-Lasinio (NJL) model that includes repulsive vector interactions, the axial $U_A(1)$-breaking 't Hooft determinant interaction, and two-flavor color-superconducting (2SC) pairing. The phase transition between hadronic and quark matter is constructed using a mixed-phase prescription that enforces baryon and lepton number conservation, allowing us to follow thermodynamic trajectories at fixed entropy per baryon and fixed lepton fraction. We analyze the phase structure of dense matter at finite temperature and study the composition of the hadronic, mixed, and quark phases in both neutrino-trapped and neutrino-free regimes. Our results show that neutrino trapping significantly modifies the particle composition and shifts the onset of deconfinement to higher densities. Using the resulting equations of state, we compute static stellar configurations and examine the influence of temperature and lepton content on the mass-radius relation of hybrid stars. Hot, neutrino-rich configurations are found to have larger radii and slightly higher maximum masses than their cold counterparts. less
Formation and Decay of Oscillons in Einstein-Cartan Higgs Inflation

By: Javier Rubio

We review recent progress in the understanding of the preheating stage of Higgs inflation formulated within the Einstein-Cartan framework of gravity. This setup smoothly interpolates between the metric and Palatini formulations of the theory, leading to a distinctive phenomenology in an intermediate regime. Following the end of inflation, the Higgs field undergoes a non-trivial out-of-equilibrium evolution driven by tachyonic instabilities an... more
We review recent progress in the understanding of the preheating stage of Higgs inflation formulated within the Einstein-Cartan framework of gravity. This setup smoothly interpolates between the metric and Palatini formulations of the theory, leading to a distinctive phenomenology in an intermediate regime. Following the end of inflation, the Higgs field undergoes a non-trivial out-of-equilibrium evolution driven by tachyonic instabilities and nonlinear self-interactions, which fragment the inflaton condensate and give rise to well-localized oscillon configurations. While early studies suggested the formation of long-lived oscillons and the possibility of an extended matter-dominated phase, more recent analyses show that self-interactions at small field values render these objects transient, eventually triggering their decay and the onset of radiation domination. We discuss the implications of this dynamics for the thermal history of the Universe, the inflationary observables, and the generation of stochastic gravitational waves. less
Thermodynamic Analysis of Charged AdS Black Holes with Cloud of Strings in Einstein-Bumblebee Gravity via Tsallis Entropy

By: Faizuddin Ahmed, Edilberto O. Silva

We investigate the thermodynamic properties of charged anti-de Sitter black holes surrounded by a cloud of strings in bumblebee gravity. In this framework, the cloud-of-strings parameter $α$ and the Lorentz-violating parameter $\ell$ modify the horizon structure, the Hawking temperature, the free energies, the specific heat, and the critical behavior in the extended phase-space description. We derive the corresponding equation of state and sh... more
We investigate the thermodynamic properties of charged anti-de Sitter black holes surrounded by a cloud of strings in bumblebee gravity. In this framework, the cloud-of-strings parameter $α$ and the Lorentz-violating parameter $\ell$ modify the horizon structure, the Hawking temperature, the free energies, the specific heat, and the critical behavior in the extended phase-space description. We derive the corresponding equation of state and show that the system exhibits a small--large black-hole phase transition of Van der Waals type. In particular, the critical quantities are deformed by both the cloud of strings and the bumblebee background, while the universal ratio is explicitly altered by Lorentz symmetry breaking. We also examine the Joule--Thomson expansion and analyze the associated inversion and isenthalpic curves, showing how the deformation parameters shift the boundary between heating and cooling regions. In addition, we extend the thermodynamic analysis to a Tsallis entropy-based framework and show that the non-extensive parameter $δ$ significantly changes the temperature profile, stability windows, critical volume, free energies, and sparsity of Hawking radiation. Our results reveal that the combined effects of the string cloud, Lorentz violation, and non-extensive entropy lead to a substantially richer thermodynamic structure than that of the standard Reissner--Nordström--AdS black hole. less
4 SciCasts by .
Scalarization of charged Taub-NUT black hole and the entropy bound

By: Lei Zhang, Hai-Shan Liu

We investigate the spontaneous scalarization of charged Taub-NUT black holes within the framework of Einstein-Maxwell-scalar-Gauss-Bonnet gravity. By selecting a suitable coupling function, the theory admits the analytic charged Taub-NUT geometry as a solution. We demonstrate that this scalar-free background becomes unstable within specific parameter regimes, leading to the bifurcation of a new branch of hairy charged Taub-NUT black holes. Th... more
We investigate the spontaneous scalarization of charged Taub-NUT black holes within the framework of Einstein-Maxwell-scalar-Gauss-Bonnet gravity. By selecting a suitable coupling function, the theory admits the analytic charged Taub-NUT geometry as a solution. We demonstrate that this scalar-free background becomes unstable within specific parameter regimes, leading to the bifurcation of a new branch of hairy charged Taub-NUT black holes. These solutions are characterized by a two-dimensional parameter space spanned by the electric charge and the NUT parameter. We conduct a systematic study of their properties, specifically the scalar charge, temperature, and entropy. Our analysis reveals that the entropy of the scalarized solutions exhibits particularly compelling features. Two universal characteristics emerge: first, the entropy of the hairy black hole is strictly greater than that of its scalar-free counterpart; second, the entropy reaches a local maximum precisely at the bifurcation point. Notably, when the electric charge is fixed, this maximum entropy value remains universal across a specific range of the mass parameter. less
The Steep Price of No Hair in Thiemann Regularized Loop Quantum Cosmology

By: Meysam Motaharfar, Parampreet Singh

Loop quantum cosmology based on Thiemann's regularization procedure leads to the resolution of the big bang singularity and bounce in the isotropic setting. A key distinction from standard loop quantum cosmology is that, in this framework, either the pre-bounce or post-bounce epoch is necessarily characterized by an emergent Planckian de Sitter phase. In this work we explore the Planckian physics of Thiemann regularized loop quantization of t... more
Loop quantum cosmology based on Thiemann's regularization procedure leads to the resolution of the big bang singularity and bounce in the isotropic setting. A key distinction from standard loop quantum cosmology is that, in this framework, either the pre-bounce or post-bounce epoch is necessarily characterized by an emergent Planckian de Sitter phase. In this work we explore the Planckian physics of Thiemann regularized loop quantization of the Bianchi-I spacetimes. We show that as in the isotropic model, there exists an emergent de Sitter phase which naturally dampens anisotropic shear and removes cosmic hair. However, this isotropization comes at a steep price: although a macroscopic post-bounce regime is achieved, the universe never becomes truly classical. We further demonstrate that this isotropization mechanism is non-generic. These results help clarify and reinterpret recent results by Gan et al. [1] that, in anisotropic Thiemann regularized loop quantum cosmology, quantum gravity effects generically damp anisotropic shear in a way that is independent of initial conditions and the matter content, and that this anisotropic shear damping mechanism arises from a novel quantum gravity effect. Our work explains the origin of this mechanism and its limitations. less
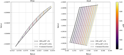
GWTC-4.0: Tests of General Relativity. II. Parameterized Tests

By: The LIGO Scientific Collaboration, the Virgo Collaboration, the KAGRA Collaboration, A. G. Abac, I. Abouelfettouh, F. Acernese, K. Ackley, C. Adamcewicz, S. Adhicary, D. Adhikari, N. Adhikari, R. X. Adhikari, V. K. Adkins, S. Afroz, A. Agapito, D. Agarwal, M. Agathos, N. Aggarwal, S. Aggarwal, O. D. Aguiar, I. -L. Ahrend, L. Aiello, A. Ain, P. Ajith, T. Akutsu, S. Albanesi, W. Ali, S. Al-Kershi, C. Alléné, A. Allocca, S. Al-Shammari, P. A. Altin, S. Alvarez-Lopez, W. Amar, O. Amarasinghe, A. Amato, F. Amicucci, C. Amra, A. Ananyeva, S. B. Anderson, W. G. Anderson, M. Andia, M. Ando, M. Andrés-Carcasona, T. Andrić, J. Anglin, S. Ansoldi, J. M. Antelis, S. Antier, M. Aoumi, E. Z. Appavuravther, S. Appert, S. K. Apple, K. Arai, A. Araya, M. C. Araya, M. Arca Sedda, J. S. Areeda, N. Aritomi, F. Armato, S. Armstrong, N. Arnaud, M. Arogeti, S. M. Aronson, K. G. Arun, G. Ashton, Y. Aso, L. Asprea, M. Assiduo, S. Assis de Souza Melo, S. M. Aston, P. Astone, F. Attadio, F. Aubin, K. AultONeal, G. Avallone, E. A. Avila, S. Babak, C. Badger, S. Bae, S. Bagnasco, L. Baiotti, R. Bajpai, T. Baka, A. M. Baker, K. A. Baker, T. Baker, G. Baldi, N. Baldicchi, M. Ball, G. Ballardin, S. W. Ballmer, S. Banagiri, B. Banerjee, D. Bankar, T. M. Baptiste, P. Baral, M. Baratti, J. C. Barayoga, B. C. Barish, D. Barker, N. Barman, P. Barneo, F. Barone, B. Barr, L. Barsotti, M. Barsuglia, D. Barta, A. M. Bartoletti, M. A. Barton, I. Bartos, A. Basalaev, R. Bassiri, A. Basti, M. Bawaj, P. Baxi, J. C. Bayley, A. C. Baylor, P. A. Baynard, M. Bazzan, V. M. Bedakihale, F. Beirnaert, M. Bejger, D. Belardinelli, A. S. Bell, D. S. Bellie, L. Bellizzi, W. Benoit, I. Bentara, J. D. Bentley, M. Ben Yaala, S. Bera, F. Bergamin, B. K. Berger, S. Bernuzzi, M. Beroiz, C. P. L. Berry, D. Bersanetti, T. Bertheas, A. Bertolini, J. Betzwieser, D. Beveridge, G. Bevilacqua, N. Bevins, S. Bhagwat, R. Bhandare, S. A. Bhat, R. Bhatt, D. Bhattacharjee, S. Bhattacharyya, S. Bhaumik, V. Biancalana, A. Bianchi, I. A. Bilenko, G. Billingsley, A. Binetti, S. Bini, C. Binu, S. Biot, O. Birnholtz, S. Biscoveanu, A. Bisht, M. Bitossi, M. -A. Bizouard, S. Blaber, J. K. Blackburn, L. A. Blagg, C. D. Blair, D. G. Blair, N. Bode, N. Boettner, G. Boileau, M. Boldrini, G. N. Bolingbroke, A. Bolliand, L. D. Bonavena, R. Bondarescu, F. Bondu, E. Bonilla, M. S. Bonilla, A. Bonino, R. Bonnand, A. Borchers, V. Boschi, S. Bose, V. Bossilkov, Y. Bothra, A. Boudon, L. Bourg, M. Boyle, A. Bozzi, C. Bradaschia, P. R. Brady, A. Branch, M. Branchesi, I. Braun, T. Briant, A. Brillet, M. Brinkmann, P. Brockill, E. Brockmueller, A. F. Brooks, B. C. Brown, D. D. Brown, M. L. Brozzetti, S. Brunett, G. Bruno, R. Bruntz, J. Bryant, Y. Bu, F. Bucci, J. Buchanan, O. Bulashenko, T. Bulik, H. J. Bulten, A. Buonanno, K. Burtnyk, R. Buscicchio, D. Buskulic, C. Buy, R. L. Byer, G. S. Cabourn Davies, R. Cabrita, V. Cáceres-Barbosa, L. Cadonati, G. Cagnoli, C. Cahillane, A. Calafat, T. A. Callister, E. Calloni, S. R. Callos, M. Canepa, G. Caneva Santoro, K. C. Cannon, H. Cao, L. A. Capistran, E. Capocasa, E. Capote, G. Capurri, G. Carapella, F. Carbognani, M. Carlassara, J. B. Carlin, T. K. Carlson, M. F. Carney, M. Carpinelli, G. Carrillo, J. J. Carter, G. Carullo, A. Casallas-Lagos, J. Casanueva Diaz, C. Casentini, S. Y. Castro-Lucas, S. Caudill, M. Cavaglià, R. Cavalieri, A. Ceja, G. Cella, P. Cerdá-Durán, E. Cesarini, N. Chabbra, W. Chaibi, A. Chakraborty, P. Chakraborty, S. Chakraborty, S. Chalathadka Subrahmanya, J. C. L. Chan, M. Chan, K. Chang, S. Chao, P. Charlton, E. Chassande-Mottin, C. Chatterjee, Debarati Chatterjee, Deep Chatterjee, M. Chaturvedi, S. Chaty, K. Chatziioannou, A. Chen, A. H. -Y. Chen, D. Chen, H. Chen, H. Y. Chen, S. Chen, Yanbei Chen, Yitian Chen, H. P. Cheng, P. Chessa, H. T. Cheung, S. Y. Cheung, F. Chiadini, G. Chiarini, A. Chiba, A. Chincarini, M. L. Chiofalo, A. Chiummo, C. Chou, S. Choudhary, N. Christensen, S. S. Y. Chua, G. Ciani, P. Ciecielag, M. Cieślar, M. Cifaldi, B. Cirok, F. Clara, J. A. Clark, T. A. Clarke, P. Clearwater, S. Clesse, F. Cleva, E. Coccia, E. Codazzo, P. -F. Cohadon, S. Colace, E. Colangeli, M. Colleoni, C. G. Collette, J. Collins, S. Colloms, A. Colombo, C. M. Compton, G. Connolly, L. Conti, T. R. Corbitt, I. Cordero-Carrión, S. Corezzi, M. Corman, N. J. Cornish, I. Coronado, A. Corsi, R. Cottingham, M. W. Coughlin, A. Couineaux, P. Couvares, D. M. Coward, R. Coyne, A. Cozzumbo, J. D. E. Creighton, T. D. Creighton, P. Cremonese, S. Crook, R. Crouch, J. Csizmazia, J. R. Cudell, T. J. Cullen, A. Cumming, E. Cuoco, M. Cusinato, L. V. Da Conceição, T. Dal Canton, S. Dal Pra, G. Dálya, O. Dan, B. D'Angelo, S. Danilishin, S. D'Antonio, K. Danzmann, K. E. Darroch, L. P. Dartez, R. Das, A. Dasgupta, V. Dattilo, A. Daumas, N. Davari, I. Dave, A. Davenport, M. Davier, T. F. Davies, D. Davis, L. Davis, M. C. Davis, P. Davis, E. J. Daw, M. Dax, J. De Bolle, M. Deenadayalan, J. Degallaix, M. De Laurentis, F. De Lillo, S. Della Torre, W. Del Pozzo, A. Demagny, F. De Marco, G. Demasi, F. De Matteis, N. Demos, T. Dent, A. Depasse, N. DePergola, R. De Pietri, R. De Rosa, C. De Rossi, M. Desai, R. DeSalvo, A. DeSimone, R. De Simone, A. Dhani, R. Diab, M. C. Díaz, M. Di Cesare, G. Dideron, T. Dietrich, L. Di Fiore, C. Di Fronzo, M. Di Giovanni, T. Di Girolamo, D. Diksha, J. Ding, S. Di Pace, I. Di Palma, D. Di Piero, F. Di Renzo, Divyajyoti, A. Dmitriev, J. P. Docherty, Z. Doctor, N. Doerksen, E. Dohmen, A. Doke, A. Domiciano De Souza, L. D'Onofrio, F. Donovan, K. L. Dooley, T. Dooney, S. Doravari, O. Dorosh, W. J. D. Doyle, M. Drago, J. C. Driggers, L. Dunn, U. Dupletsa, P. -A. Duverne, D. D'Urso, P. Dutta Roy, H. Duval, S. E. Dwyer, C. Eassa, W. East, M. Ebersold, T. Eckhardt, G. Eddolls, A. Effler, J. Eichholz, H. Einsle, M. Eisenmann, M. Emma, K. Endo, R. Enficiaud, L. Errico, R. Espinosa, M. Esposito, R. C. Essick, H. Estellés, T. Etzel, M. Evans, T. Evstafyeva, B. E. Ewing, J. M. Ezquiaga, F. Fabrizi, V. Fafone, S. Fairhurst, A. M. Farah, B. Farr, W. M. Farr, G. Favaro, M. Favata, M. Fays, M. Fazio, J. Feicht, M. M. Fejer, R. Felicetti, E. Fenyvesi, J. Fernandes, T. Fernandes, D. Fernando, S. Ferraiuolo, T. A. Ferreira, F. Fidecaro, A. Fienga, P. Figura, A. Fiori, I. Fiori, M. Fishbach, R. P. Fisher, R. Fittipaldi, V. Fiumara, R. Flaminio, S. M. Fleischer, L. S. Fleming, E. Floden, H. Fong, J. A. Font, F. Fontinele-Nunes, C. Foo, B. Fornal, K. Franceschetti, F. Frappez, S. Frasca, F. Frasconi, J. P. Freed, Z. Frei, A. Freise, O. Freitas, R. Frey, W. Frischhertz, P. Fritschel, V. V. Frolov, G. G. Fronzé, M. Fuentes-Garcia, S. Fujii, T. Fujimori, P. Fulda, M. Fyffe, B. Gadre, J. R. Gair, S. Galaudage, V. Galdi, R. Gamba, A. Gamboa, S. Gamoji, D. Ganapathy, A. Ganguly, B. Garaventa, J. García-Bellido, C. García-Quirós, J. W. Gardner, K. A. Gardner, S. Garg, J. Gargiulo, X. Garrido, A. Garron, F. Garufi, P. A. Garver, C. Gasbarra, B. Gateley, F. Gautier, V. Gayathri, T. Gayer, G. Gemme, A. Gennai, V. Gennari, J. George, R. George, O. Gerberding, L. Gergely, Archisman Ghosh, Sayantan Ghosh, Shaon Ghosh, Shrobana Ghosh, Suprovo Ghosh, Tathagata Ghosh, J. A. Giaime, K. D. Giardina, D. R. Gibson, C. Gier, S. Gkaitatzis, J. Glanzer, F. Glotin, J. Godfrey, R. V. Godley, P. Godwin, A. S. Goettel, E. Goetz, J. Golomb, S. Gomez Lopez, B. Goncharov, G. González, P. Goodarzi, S. Goode, A. W. Goodwin-Jones, M. Gosselin, R. Gouaty, D. W. Gould, K. Govorkova, A. Grado, V. Graham, A. E. Granados, M. Granata, V. Granata, S. Gras, P. Grassia, J. Graves, C. Gray, R. Gray, G. Greco, A. C. Green, L. Green, S. M. Green, S. R. Green, C. Greenberg, A. M. Gretarsson, H. K. Griffin, D. Griffith, H. L. Griggs, G. Grignani, C. Grimaud, H. Grote, S. Grunewald, D. Guerra, D. Guetta, G. M. Guidi, A. R. Guimaraes, H. K. Gulati, F. Gulminelli, H. Guo, W. Guo, Y. Guo, Anuradha Gupta, I. Gupta, N. C. Gupta, S. K. Gupta, V. Gupta, N. Gupte, J. Gurs, N. Gutierrez, N. Guttman, F. Guzman, D. Haba, M. Haberland, S. Haino, E. D. Hall, E. Z. Hamilton, G. Hammond, M. Haney, J. Hanks, C. Hanna, M. D. Hannam, O. A. Hannuksela, A. G. Hanselman, H. Hansen, J. Hanson, S. Hanumasagar, R. Harada, A. R. Hardison, S. Harikumar, K. Haris, I. Harley-Trochimczyk, T. Harmark, J. Harms, G. M. Harry, I. W. Harry, J. Hart, B. Haskell, C. -J. Haster, K. Haughian, H. Hayakawa, K. Hayama, M. C. Heintze, J. Heinze, J. Heinzel, H. Heitmann, F. Hellman, A. F. Helmling-Cornell, G. Hemming, O. Henderson-Sapir, M. Hendry, I. S. Heng, M. H. Hennig, C. Henshaw, M. Heurs, A. L. Hewitt, J. Heynen, J. Heyns, S. Higginbotham, S. Hild, S. Hill, Y. Himemoto, N. Hirata, C. Hirose, D. Hofman, B. E. Hogan, N. A. Holland, K. Holley-Bockelmann, I. J. Hollows, D. E. Holz, L. Honet, D. J. Horton-Bailey, J. Hough, S. Hourihane, N. T. Howard, E. J. Howell, C. G. Hoy, C. A. Hrishikesh, P. Hsi, H. -F. Hsieh, H. -Y. Hsieh, C. Hsiung, S. -H. Hsu, W. -F. Hsu, Q. Hu, H. Y. Huang, Y. Huang, Y. T. Huang, A. D. Huddart, B. Hughey, V. Hui, S. Husa, R. Huxford, L. Iampieri, G. A. Iandolo, M. Ianni, G. Iannone, J. Iascau, K. Ide, R. Iden, A. Ierardi, S. Ikeda, H. Imafuku, Y. Inoue, G. Iorio, P. Iosif, M. H. Iqbal, J. Irwin, R. Ishikawa, M. Isi, K. S. Isleif, Y. Itoh, M. Iwaya, B. R. Iyer, C. Jacquet, P. -E. Jacquet, T. Jacquot, S. J. Jadhav, S. P. Jadhav, M. Jain, T. Jain, A. L. James, K. Jani, J. Janquart, N. N. Janthalur, S. Jaraba, P. Jaranowski, R. Jaume, W. Javed, A. Jennings, M. Jensen, W. Jia, J. Jiang, H. -B. Jin, G. R. Johns, N. A. Johnson, N. K. Johnson-McDaniel, M. C. Johnston, R. Johnston, N. Johny, D. H. Jones, D. I. Jones, R. Jones, H. E. Jose, P. Joshi, S. K. Joshi, G. Joubert, J. Ju, L. Ju, K. Jung, J. Junker, V. Juste, H. B. Kabagoz, T. Kajita, I. Kaku, V. Kalogera, M. Kalomenopoulos, M. Kamiizumi, N. Kanda, S. Kandhasamy, G. Kang, N. C. Kannachel, J. B. Kanner, S. A. KantiMahanty, S. J. Kapadia, D. P. Kapasi, M. Karthikeyan, M. Kasprzack, H. Kato, T. Kato, E. Katsavounidis, W. Katzman, R. Kaushik, K. Kawabe, R. Kawamoto, D. Keitel, L. J. Kemperman, J. Kennington, F. A. Kerkow, R. Kesharwani, J. S. Key, R. Khadela, S. Khadka, S. S. Khadkikar, F. Y. Khalili, F. Khan, T. Khanam, M. Khursheed, N. M. Khusid, W. Kiendrebeogo, N. Kijbunchoo, C. Kim, J. C. Kim, K. Kim, M. H. Kim, S. Kim, Y. -M. Kim, C. Kimball, K. Kimes, M. Kinnear, J. S. Kissel, S. Klimenko, A. M. Knee, E. J. Knox, N. Knust, K. Kobayashi, S. M. Koehlenbeck, G. Koekoek, K. Kohri, K. Kokeyama, S. Koley, P. Kolitsidou, A. E. Koloniari, K. Komori, A. K. H. Kong, A. Kontos, L. M. Koponen, M. Korobko, X. Kou, A. Koushik, N. Kouvatsos, M. Kovalam, T. Koyama, D. B. Kozak, S. L. Kranzhoff, V. Kringel, N. V. Krishnendu, S. Kroker, A. Królak, K. Kruska, J. Kubisz, G. Kuehn, S. Kulkarni, A. Kulur Ramamohan, Achal Kumar, Anil Kumar, Praveen Kumar, Prayush Kumar, Rahul Kumar, Rakesh Kumar, J. Kume, K. Kuns, N. Kuntimaddi, S. Kuroyanagi, S. Kuwahara, K. Kwak, K. Kwan, S. Kwon, G. Lacaille, D. Laghi, A. H. Laity, E. Lalande, M. Lalleman, P. C. Lalremruati, M. Landry, B. B. Lane, R. N. Lang, J. Lange, R. Langgin, B. Lantz, I. La Rosa, J. Larsen, A. Lartaux-Vollard, P. D. Lasky, J. Lawrence, M. Laxen, C. Lazarte, A. Lazzarini, C. Lazzaro, P. Leaci, L. Leali, Y. K. Lecoeuche, H. M. Lee, H. W. Lee, J. Lee, K. Lee, R. -K. Lee, R. Lee, Sungho Lee, Sunjae Lee, Y. Lee, I. N. Legred, J. Lehmann, L. Lehner, M. Le Jean, A. Lemaître, M. Lenti, M. Leonardi, M. Lequime, N. Leroy, M. Lesovsky, N. Letendre, M. Lethuillier, Y. Levin, K. Leyde, A. K. Y. Li, K. L. Li, T. G. F. Li, X. Li, Y. Li, Z. Li, A. Lihos, E. T. Lin, F. Lin, L. C. -C. Lin, Y. -C. Lin, C. Lindsay, S. D. Linker, A. Liu, G. C. Liu, Jian Liu, F. Llamas Villarreal, J. Llobera-Querol, R. K. L. Lo, J. -P. Locquet, S. C. G. Loggins, M. R. Loizou, L. T. London, A. Longo, D. Lopez, M. Lopez Portilla, M. Lorenzini, A. Lorenzo-Medina, V. Loriette, M. Lormand, G. Losurdo, E. Lotti, T. P. Lott, J. D. Lough, H. A. Loughlin, C. O. Lousto, N. Low, N. Lu, L. Lucchesi, H. Lück, D. Lumaca, A. P. Lundgren, A. W. Lussier, R. Macas, M. MacInnis, D. M. Macleod, I. A. O. MacMillan, A. Macquet, K. Maeda, S. Maenaut, S. S. Magare, R. M. Magee, E. Maggio, R. Maggiore, M. Magnozzi, P. Mahapatra, M. Mahesh, Y. Maimon, M. Maini, S. Majhi, E. Majorana, C. N. Makarem, D. Malakar, J. A. Malaquias-Reis, U. Mali, S. Maliakal, A. Malik, L. Mallick, A. -K. Malz, N. Man, M. Mancarella, V. Mandic, V. Mangano, B. Mannix, G. L. Mansell, M. Manske, M. Mantovani, M. Mapelli, C. Marinelli, F. Marion, A. S. Markosyan, A. Markowitz, E. Maros, S. Marsat, F. Martelli, I. W. Martin, R. M. Martin, B. B. Martinez, D. A. Martinez, M. Martinez, V. Martinez, A. Martini, J. C. Martins, D. V. Martynov, E. J. Marx, L. Massaro, A. Masserot, M. Masso-Reid, S. Mastrogiovanni, T. Matcovich, M. Matiushechkina, L. Maurin, N. Mavalvala, N. Maxwell, G. McCarrol, R. McCarthy, D. E. McClelland, S. McCormick, L. McCuller, S. McEachin, C. McElhenny, G. I. McGhee, K. B. M. McGowan, J. McIver, A. McLeod, I. McMahon, T. McRae, R. McTeague, D. Meacher, B. N. Meagher, R. Mechum, Q. Meijer, A. Melatos, C. S. Menoni, F. Mera, R. A. Mercer, L. Mereni, K. Merfeld, E. L. Merilh, J. R. Mérou, J. D. Merritt, M. Merzougui, C. Messick, B. Mestichelli, M. Meyer-Conde, F. Meylahn, A. Mhaske, A. Miani, H. Miao, C. Michel, Y. Michimura, H. Middleton, D. P. Mihaylov, S. J. Miller, M. Millhouse, E. Milotti, V. Milotti, Y. Minenkov, E. M. Minihan, Ll. M. Mir, L. Mirasola, M. Miravet-Tenés, C. -A. Miritescu, A. Mishra, C. Mishra, T. Mishra, A. L. Mitchell, J. G. Mitchell, S. Mitra, V. P. Mitrofanov, K. Mitsuhashi, R. Mittleman, O. Miyakawa, S. Miyoki, A. Miyoko, G. Mo, L. Mobilia, S. Mohan S., S. R. P. Mohapatra, S. R. Mohite, M. Molina-Ruiz, M. Mondin, M. Montani, C. J. Moore, D. Moraru, A. More, S. More, C. Moreno, E. A. Moreno, G. Moreno, A. Moreso Serra, S. Morisaki, Y. Moriwaki, G. Morras, A. Moscatello, M. Mould, B. Mours, C. M. Mow-Lowry, L. Muccillo, F. Muciaccia, D. Mukherjee, Samanwaya Mukherjee, Soma Mukherjee, Subroto Mukherjee, Suvodip Mukherjee, N. Mukund, A. Mullavey, H. Mullock, J. Mundi, C. L. Mungioli, M. Murakoshi, P. G. Murray, D. Nabari, S. L. Nadji, A. Nagar, N. Nagarajan, K. Nakagaki, K. Nakamura, H. Nakano, M. Nakano, D. Nanadoumgar-Lacroze, D. Nandi, V. Napolano, P. Narayan, I. Nardecchia, T. Narikawa, H. Narola, L. Naticchioni, R. K. Nayak, L. Negri, A. Nela, C. Nelle, A. Nelson, T. J. N. Nelson, M. Nery, A. Neunzert, S. Ng, L. Nguyen Quynh, S. A. Nichols, A. B. Nielsen, Y. Nishino, A. Nishizawa, S. Nissanke, W. Niu, F. Nocera, J. Noller, M. Norman, C. North, J. Novak, R. Nowicki, J. F. Nuño Siles, L. K. Nuttall, K. Obayashi, J. Oberling, J. O'Dell, E. Oelker, M. Oertel, G. Oganesyan, T. O'Hanlon, M. Ohashi, F. Ohme, R. Oliveri, R. Omer, B. O'Neal, M. Onishi, K. Oohara, B. O'Reilly, M. Orselli, R. O'Shaughnessy, S. O'Shea, S. Oshino, C. Osthelder, I. Ota, D. J. Ottaway, A. Ouzriat, H. Overmier, B. J. Owen, R. Ozaki, A. E. Pace, R. Pagano, M. A. Page, A. Pai, L. Paiella, A. Pal, S. Pal, M. A. Palaia, M. Pálfi, P. P. Palma, C. Palomba, P. Palud, H. Pan, J. Pan, K. C. Pan, P. K. Panda, Shiksha Pandey, Swadha Pandey, P. T. H. Pang, F. Pannarale, K. A. Pannone, B. C. Pant, F. H. Panther, M. Panzeri, F. Paoletti, A. Paolone, A. Papadopoulos, E. E. Papalexakis, L. Papalini, G. Papigkiotis, A. Paquis, A. Parisi, B. -J. Park, J. Park, W. Parker, G. Pascale, D. Pascucci, A. Pasqualetti, R. Passaquieti, L. Passenger, D. Passuello, O. Patane, A. V. Patel, D. Pathak, A. Patra, B. Patricelli, B. G. Patterson, K. Paul, S. Paul, E. Payne, T. Pearce, M. Pedraza, A. Pele, F. E. Peña Arellano, X. Peng, Y. Peng, S. Penn, M. D. Penuliar, A. Perego, Z. Pereira, C. Périgois, G. Perna, A. Perreca, J. Perret, S. Perriès, J. W. Perry, D. Pesios, S. Peters, S. Petracca, C. Petrillo, H. P. Pfeiffer, H. Pham, K. A. Pham, K. S. Phukon, H. Phurailatpam, M. Piarulli, L. Piccari, O. J. Piccinni, M. Pichot, M. Piendibene, F. Piergiovanni, L. Pierini, G. Pierra, V. Pierro, M. Pietrzak, M. Pillas, F. Pilo, L. Pinard, I. M. Pinto, M. Pinto, B. J. Piotrzkowski, M. Pirello, M. D. Pitkin, A. Placidi, E. Placidi, M. L. Planas, W. Plastino, C. Plunkett, R. Poggiani, E. Polini, J. Pomper, L. Pompili, J. Poon, E. Porcelli, E. K. Porter, C. Posnansky, R. Poulton, J. Powell, G. S. Prabhu, M. Pracchia, B. K. Pradhan, T. Pradier, A. K. Prajapati, K. Prasai, R. Prasanna, P. Prasia, G. Pratten, G. Principe, G. A. Prodi, P. Prosperi, P. Prosposito, A. C. Providence, A. Puecher, J. Pullin, P. Puppo, M. Pürrer, H. Qi, J. Qin, G. Quéméner, V. Quetschke, P. J. Quinonez, N. Qutob, R. Rading, I. Rainho, S. Raja, C. Rajan, B. Rajbhandari, K. E. Ramirez, F. A. Ramis Vidal, M. Ramos Arevalo, A. Ramos-Buades, S. Ranjan, K. Ransom, P. Rapagnani, B. Ratto, A. Ravichandran, A. Ray, V. Raymond, M. Razzano, J. Read, T. Regimbau, S. Reid, C. Reissel, D. H. Reitze, A. I. Renzini, B. Revenu, A. Revilla Peña, R. Reyes, L. Ricca, F. Ricci, M. Ricci, A. Ricciardone, J. Rice, J. W. Richardson, M. L. Richardson, A. Rijal, K. Riles, H. K. Riley, S. Rinaldi, J. Rittmeyer, C. Robertson, F. Robinet, M. Robinson, A. Rocchi, L. Rolland, J. G. Rollins, A. E. Romano, R. Romano, A. Romero, I. M. Romero-Shaw, J. H. Romie, S. Ronchini, T. J. Roocke, L. Rosa, T. J. Rosauer, C. A. Rose, D. Rosińska, M. P. Ross, M. Rossello-Sastre, S. Rowan, S. K. Roy, S. Roy, D. Rozza, P. Ruggi, N. Ruhama, E. Ruiz Morales, K. Ruiz-Rocha, S. Sachdev, T. Sadecki, P. Saffarieh, S. Safi-Harb, M. R. Sah, S. Saha, T. Sainrat, S. Sajith Menon, K. Sakai, Y. Sakai, M. Sakellariadou, S. Sakon, O. S. Salafia, F. Salces-Carcoba, L. Salconi, M. Saleem, F. Salemi, M. Sallé, S. U. Salunkhe, S. Salvador, A. Salvarese, A. Samajdar, A. Sanchez, E. J. Sanchez, L. E. Sanchez, N. Sanchis-Gual, J. R. Sanders, E. M. Sänger, F. Santoliquido, F. Sarandrea, T. R. Saravanan, N. Sarin, P. Sarkar, A. Sasli, P. Sassi, B. Sassolas, B. S. Sathyaprakash, R. Sato, S. Sato, Yukino Sato, Yu Sato, O. Sauter, R. L. Savage, T. Sawada, H. L. Sawant, S. Sayah, V. Scacco, D. Schaetzl, M. Scheel, A. Schiebelbein, M. G. Schiworski, P. Schmidt, S. Schmidt, R. Schnabel, M. Schneewind, R. M. S. Schofield, K. Schouteden, B. W. Schulte, B. F. Schutz, E. Schwartz, M. Scialpi, J. Scott, S. M. Scott, R. M. Sedas, T. C. Seetharamu, M. Seglar-Arroyo, Y. Sekiguchi, D. Sellers, N. Sembo, A. S. Sengupta, E. G. Seo, J. W. Seo, V. Sequino, M. Serra, A. Sevrin, T. Shaffer, U. S. Shah, M. A. Shaikh, L. Shao, A. K. Sharma, Preeti Sharma, Prianka Sharma, Ritwik Sharma, S. Sharma Chaudhary, P. Shawhan, N. S. Shcheblanov, E. Sheridan, Z. -H. Shi, M. Shikauchi, R. Shimomura, H. Shinkai, S. Shirke, D. H. Shoemaker, D. M. Shoemaker, R. W. Short, S. ShyamSundar, A. Sider, H. Siegel, D. Sigg, L. Silenzi, L. Silvestri, M. Simmonds, L. P. Singer, Amitesh Singh, Anika Singh, D. Singh, N. Singh, S. Singh, A. M. Sintes, V. Sipala, V. Skliris, B. J. J. Slagmolen, D. A. Slater, T. J. Slaven-Blair, J. Smetana, J. R. Smith, L. Smith, R. J. E. Smith, W. J. Smith, S. Soares de Albuquerque Filho, M. Soares-Santos, K. Somiya, I. Song, S. Soni, V. Sordini, F. Sorrentino, H. Sotani, F. Spada, V. Spagnuolo, A. P. Spencer, P. Spinicelli, A. K. Srivastava, F. Stachurski, C. J. Stark, D. A. Steer, J. Steinhoff, N. Steinle, J. Steinlechner, S. Steinlechner, N. Stergioulas, P. Stevens, M. StPierre, M. D. Strong, A. Strunk, A. L. Stuver, M. Suchenek, S. Sudhagar, Y. Sudo, N. Sueltmann, L. Suleiman, K. D. Sullivan, J. Sun, L. Sun, S. Sunil, J. Suresh, B. J. Sutton, P. J. Sutton, K. Suzuki, M. Suzuki, S. Swain, B. L. Swinkels, A. Syx, M. J. Szczepańczyk, P. Szewczyk, M. Tacca, H. Tagoshi, S. C. Tait, K. Takada, H. Takahashi, R. Takahashi, A. Takamori, S. Takano, H. Takeda, K. Takeshita, I. Takimoto Schmiegelow, M. Takou-Ayaoh, C. Talbot, M. Tamaki, N. Tamanini, D. Tanabe, K. Tanaka, S. J. Tanaka, S. Tanioka, D. B. Tanner, W. Tanner, L. Tao, R. D. Tapia, E. N. Tapia San Martín, C. Taranto, A. Taruya, J. D. Tasson, J. G. Tau, D. Tellez, R. Tenorio, H. Themann, A. Theodoropoulos, M. P. Thirugnanasambandam, L. M. Thomas, M. Thomas, P. Thomas, J. E. Thompson, S. R. Thondapu, K. A. Thorne, E. Thrane, J. Tissino, A. Tiwari, Pawan Tiwari, Praveer Tiwari, S. Tiwari, V. Tiwari, M. R. Todd, M. Toffano, A. M. Toivonen, K. Toland, A. E. Tolley, T. Tomaru, V. Tommasini, T. Tomura, H. Tong, C. Tong-Yu, A. Torres-Forné, C. I. Torrie, I. Tosta e Melo, E. Tournefier, M. Trad Nery, K. Tran, A. Trapananti, R. Travaglini, F. Travasso, G. Traylor, M. Trevor, M. C. Tringali, A. Tripathee, G. Troian, A. Trovato, L. Trozzo, R. J. Trudeau, T. Tsang, S. Tsuchida, L. Tsukada, K. Turbang, M. Turconi, C. Turski, H. Ubach, N. Uchikata, T. Uchiyama, R. P. Udall, T. Uehara, K. Ueno, V. Undheim, L. E. Uronen, T. Ushiba, M. Vacatello, H. Vahlbruch, N. Vaidya, G. Vajente, A. Vajpeyi, J. Valencia, M. Valentini, S. A. Vallejo-Peña, S. Vallero, V. Valsan, M. van Dael, E. Van den Bossche, J. F. J. van den Brand, C. Van Den Broeck, M. van der Sluys, A. Van de Walle, J. van Dongen, K. Vandra, M. VanDyke, H. van Haevermaet, J. V. van Heijningen, P. Van Hove, J. Vanier, M. VanKeuren, J. Vanosky, N. van Remortel, M. Vardaro, A. F. Vargas, V. Varma, A. N. Vazquez, A. Vecchio, G. Vedovato, J. Veitch, P. J. Veitch, S. Venikoudis, R. C. Venterea, P. Verdier, M. Vereecken, D. Verkindt, B. Verma, Y. Verma, S. M. Vermeulen, F. Vetrano, A. Veutro, A. Viceré, S. Vidyant, A. D. Viets, A. Vijaykumar, A. Vilkha, N. Villanueva Espinosa, V. Villa-Ortega, E. T. Vincent, J. -Y. Vinet, S. Viret, S. Vitale, H. Vocca, D. Voigt, E. R. G. von Reis, J. S. A. von Wrangel, W. E. Vossius, L. Vujeva, S. P. Vyatchanin, J. Wack, L. E. Wade, M. Wade, K. J. Wagner, R. M. Wald, L. Wallace, E. J. Wang, H. Wang, J. Z. Wang, W. H. Wang, Y. F. Wang, G. Waratkar, J. Warner, M. Was, T. Washimi, N. Y. Washington, D. Watarai, B. Weaver, S. A. Webster, N. L. Weickhardt, M. Weinert, A. J. Weinstein, R. Weiss, L. Wen, K. Wette, J. T. Whelan, B. F. Whiting, C. Whittle, E. G. Wickens, D. Wilken, A. T. Wilkin, B. M. Williams, D. Williams, M. J. Williams, N. S. Williams, J. L. Willis, B. Willke, M. Wils, L. Wilson, C. W. Winborn, J. Winterflood, C. C. Wipf, G. Woan, J. Woehler, N. E. Wolfe, H. T. Wong, I. C. F. Wong, K. Wong, T. Wouters, J. L. Wright, M. Wright, B. Wu, C. Wu, D. S. Wu, H. Wu, K. Wu, Q. Wu, Y. Wu, Z. Wu, E. Wuchner, D. M. Wysocki, V. A. Xu, Y. Xu, N. Yadav, H. Yamamoto, K. Yamamoto, T. S. Yamamoto, T. Yamamoto, R. Yamazaki, T. Yan, K. Z. Yang, Y. Yang, Z. Yarbrough, J. Yebana, S. -W. Yeh, A. B. Yelikar, X. Yin, J. Yokoyama, T. Yokozawa, S. Yuan, H. Yuzurihara, M. Zanolin, M. Zeeshan, T. Zelenova, J. -P. Zendri, M. Zeoli, M. Zerrad, M. Zevin, L. Zhang, N. Zhang, R. Zhang, T. Zhang, C. Zhao, J. Zhao, Yue Zhao, Yuhang Zhao, Z. -C. Zhao, Y. Zheng, H. Zhong, H. Zhou, H. O. Zhu, Z. -H. Zhu, A. B. Zimmerman, L. Zimmermann, M. E. Zucker, J. Zweizig

In this second of three papers on tests of general relativity (GR) applied to the compact binary coalescence signals in the fourth Gravitational-Wave Transient Catalog (GWTC-4.0), we present the results of the parameterized tests of GR and constraints on line-of-sight acceleration. We include events up to and including the first part of the fourth observing run (O4a) of the LIGO Virgo KAGRA detectors. As in the other two papers in this series... more
In this second of three papers on tests of general relativity (GR) applied to the compact binary coalescence signals in the fourth Gravitational-Wave Transient Catalog (GWTC-4.0), we present the results of the parameterized tests of GR and constraints on line-of-sight acceleration. We include events up to and including the first part of the fourth observing run (O4a) of the LIGO Virgo KAGRA detectors. As in the other two papers in this series, we restrict our analysis to the 42 confident signals, measured by at least two detectors, that have false alarm rates $\le 10^{-3} \mathrm{yr}^{-1}$ from O4a, in addition to the 49 such events from previous observing runs. This paper focuses on the eight tests that constrain parameterized deviations from the expected GR (or unaccelerated) values. These include modifications of post-Newtonian (PN) parameters, spin-induced quadrupole moments different from those of a binary black hole, and possible dispersive or birefringent propagation effects. Overall, we find no evidence for physics beyond GR, for spin-induced quadrupole moments different from those of a Kerr black hole in GR, or for line of sight acceleration, with more than 90% of the events including the null result (no deviation) within their 90% credible intervals. We discuss possible systematics affecting the other events and tests, even though they are statistically not surprising, given noise. We improve the bounds on deviations from the GR PN coefficients by factors of 1.2-5.5 and provide illustrative translations to constraints on some modified theories. Also, we update the bound on the mass of the graviton, at 90% credibility, to $m_g \leq 1.92\times 10^{-23} \mathrm{eV}/c^2$. Thus, we see that GR holds, and many of the bounds on possible deviations derived from our events are the best to date. less
8 SciCasts by .
Post-Quantum Cryptography from Quantum Stabilizer Decoding

By: Jonathan Z. Lu, Alexander Poremba, Yihui Quek, Akshar Ramkumar

Post-quantum cryptography currently rests on a small number of hardness assumptions, posing significant risks should any one of them be compromised. This vulnerability motivates the search for new and cryptographically versatile assumptions that make a convincing case for quantum hardness. In this work, we argue that decoding random quantum stabilizer codes -- a quantum analog of the well-studied LPN problem -- is an excellent candidate. This... more
Post-quantum cryptography currently rests on a small number of hardness assumptions, posing significant risks should any one of them be compromised. This vulnerability motivates the search for new and cryptographically versatile assumptions that make a convincing case for quantum hardness. In this work, we argue that decoding random quantum stabilizer codes -- a quantum analog of the well-studied LPN problem -- is an excellent candidate. This task occupies a unique middle ground: it is inherently native to quantum computation, yet admits an equivalent formulation with purely classical input and output, as recently shown by Khesin et al. (STOC '26). We prove that the average-case hardness of quantum stabilizer decoding implies the core primitives of classical Cryptomania, including public-key encryption (PKE) and oblivious transfer (OT), as well as one-way functions. Our constructions are moreover practical: our PKE scheme achieves essentially the same efficiency as state-of-the-art LPN-based PKE, and our OT is round-optimal. We also provide substantial evidence that stabilizer decoding does not reduce to LPN, suggesting that the former problem constitutes a genuinely new post-quantum assumption. Our primary technical contributions are twofold. First, we give a reduction from random quantum stabilizer decoding to an average-case problem closely resembling LPN, but which is equipped with additional symplectic algebraic structure. While this structure is essential to the quantum nature of the problem, it raises significant barriers to cryptographic security reductions. Second, we develop a new suit of scrambling techniques for such structured linear spaces, and use them to produce rigorous security proofs for all of our constructions. less
Quantum theory based on real numbers cannot be experimentally falsified

By: Timothée Hoffreumon, Mischa P. Woods

Whether the complex numbers of standard quantum theory are experimentally indispensable has remained open for decades. Real quantum theory (RQT), obtained by replacing complex amplitudes with real ones while retaining the usual Kronecker-product composition rule, reproduces all single-party and bipartite Bell correlations of quantum theory (QT), but its lack of local tomography suggested that the two theories might diverge in more general loc... more
Whether the complex numbers of standard quantum theory are experimentally indispensable has remained open for decades. Real quantum theory (RQT), obtained by replacing complex amplitudes with real ones while retaining the usual Kronecker-product composition rule, reproduces all single-party and bipartite Bell correlations of quantum theory (QT), but its lack of local tomography suggested that the two theories might diverge in more general local experiments. This possibility appeared to be confirmed by Renou et al., who argued that a bilocal network experiment can falsify RQT without falsifying QT. Here we show that this conclusion relies on an experimentally untestable assumption. The key distinction is between product-state independence, which constrains the mathematical form of source states, and operational independence, which is defined entirely by the absence of observable cross-source correlations. We prove that, once source independence is imposed operationally, every finite network correlation achievable in QT is also achievable in RQT with the same locality structure of the measurements. We then extend this equivalence to arbitrary finite sequential multipartite protocols involving channels and measurements with prescribed locality structure. Thus, as long as no violation of QT is observed, RQT cannot be experimentally falsified. Our results restore the empirical indistinguishability of QT and RQT, while showing that they support markedly different pictures of the correlation structure underlying the same observed world. less