Screening antifungal activity of macroalgae from SE Spain highlights the invader Rugulopteryx okamurae

Avatar
Poster
Voice is AI-generated
Connected to paperThis paper is a preprint and has not been certified by peer review

Screening antifungal activity of macroalgae from SE Spain highlights the invader Rugulopteryx okamurae

Authors

Valverde-Urrea, M.; Otero, C. K.; Terradas-Fernandez, M.; Lopez-Moya, F.

Abstract

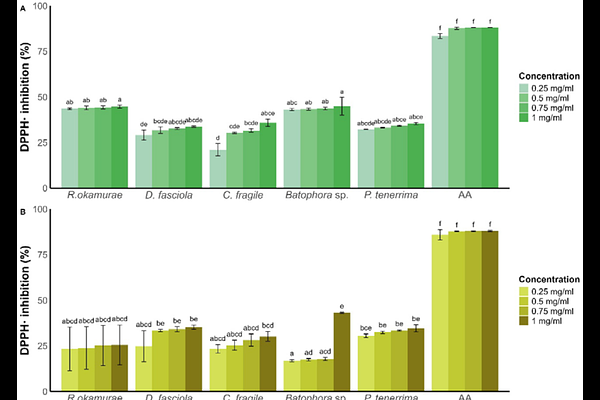
The Mediterranean Sea harbors a rich diversity of macroalgae with pharmacological potential. In this study, metabolite composition, antioxidant and antifungal activities of methanol and ethyl acetate extracts from Rugulopteryx okamurae, Dictyota fasciola, Batophora sp., Codium fragile, and Palisada tenerrima from the southeastern coast of Spain were evaluated. R. okamurae, Batophora sp. and C. fragile are non-native. All extracts exhibited antioxidant activity, particularly those obtained with methanol. R. okamurae and Batophora sp. showed the highest activity, inhibiting the DPPH radical by more than 40% at 1 mg/ml. All extracts contained phenolics and flavonoids, which may contribute to the observed antioxidant activity. Moreover, the methanolic extracts of R. okamurae and P. tenerrima exhibited in vitro fungistatic activity against the wilt pathogen Fusarium oxysporum f. sp. cubense tropical race 4. R. okamurae extracts showed the strongest antifungal activity against F. oxysporum f. sp. cubense TR4, with inhibition values of 23.3% and 30.5% at doses of 10 and 20 mg/well, respectively. The methanolic P. tenerrima also showed notable activity (19.8% and 20.7% inhibition), whereas other extracts displayed lower effect. LC-MS/MS analysis of R. okamurae extract revealed a diverse metabolite profile including oxylipin-type metabolites, terpenoid-like compounds and carotenoids. Our findings highlight coastal macroalgae from SE Spain as sources of bioactive compounds and support the valorization of biomass from invaders such as R. okamurae.

Follow Us on

0 comments

Add comment