Identifying Robust Subclonal Structures through Tumor Progression Tree Alignment

Avatar
Poster
Voice is AI-generated
Connected to paperThis paper is a preprint and has not been certified by peer review

Identifying Robust Subclonal Structures through Tumor Progression Tree Alignment

Authors

Gilbert, J.; Wu, C. H.; Knittel, H.; Schäffer, A. A.; Malikic, S.; Sahinalp, C.

Abstract

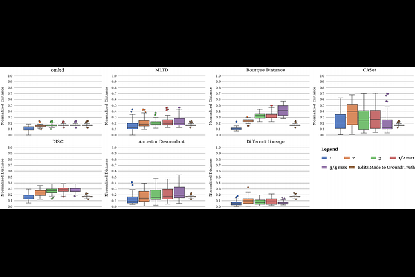
Understanding and comparing tumor evolutionary histories is fundamental to cancer genomics. Clonal trees, used to model tumor progression, are rooted, unordered trees in which each node represents a subclone labeled by a set of distinct mutations. To compare two clonal trees, we introduce omlta, the optimal multi-label tree alignment, which removes the minimum number of mutation labels from the trees, so that the remaining trees are isomorphic. Computing omlta is NP-hard. Here, we present an algorithm to compute the omlta, with a running time of O(2k/2 * L3 log L) where L [≥] 1 is the total number of mutation labels occurring in the input trees and k is the minimum possible number of mutation labels that need to be removed for the alignment. Our implementation (https://github.com/algo-cancer/omlta) is the first computational tool for determining the optimal alignment between clonal trees. We applied omlta to 126 cases from the TRACERx study on non-small cell lung cancers and some melanoma single-cell data.

Follow Us on

0 comments

Add comment