Uncovering Functional Distant Mutations by Ultra-High-Throughput Screening of Dehalogenases
Uncovering Functional Distant Mutations by Ultra-High-Throughput Screening of Dehalogenases
Faldynova, H.; Kovar, D.; Jain, A.; Slanska, M.; Martinek, M.; Jakob, A.; Sulova, M.; Vasina, M.; Planas-Iglesias, J.; Marques, S.; Verma, N.; Vanacek, P.; Damborsky, D.; Badenhorst, C.; Buryska, T.; Chiu, F.; Majerova, M.; Kohutekova, T.; Kouba, P.; Sendlerova, N.; deMello, A.; Damborsky, J.; Sivic, J.; Bornscheuer, U.; Bednar, D.; Mazurenko, S.; Hernychova, L.; Marek, M.; Klan, P.; Stavrakis, S.; Prokop, Z.
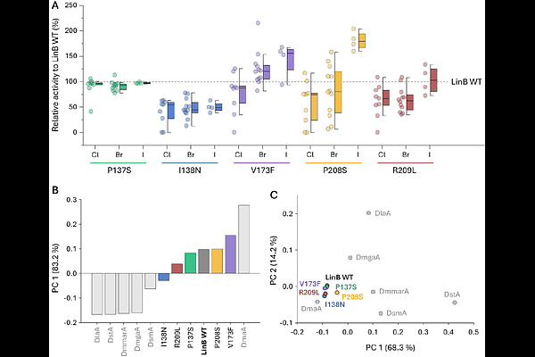
AbstractConformational dynamics play a central role in enzyme function by controlling substrate access and productive binding. Yet mutations that beneficially modulate these properties are difficult to identify. Here, we used ultrahigh-throughput fluorescence-activated droplet sorting (FADS) with a bulky fluorogenic substrate derived from coumarin (COU-3) to impose steric selection pressure on the haloalkane dehalogenase LinB. Screening a focused library yielded five single substitutions located 11.5-15.5 [A] from the catalytic centre. Variant I138N showed a fourfold increase in catalytic efficiency toward COU-3 through reduced KM and increased kcat, associated with increased cap-domain flexibility and facilitated substrate entry. In contrast, variant P208S markedly reduced substrate inhibition and shifted specificity toward bulkier iodinated haloalkanes by reshaping its tunnel environment. Integrated kinetic and structural analyses revealed that screening with bulky substrates directs selection toward distal regions controlling substrate access and unproductive binding. These findings demonstrate that ultrahigh-throughput FADS can reveal dynamic mechanisms of enzyme adaptation that remain difficult to predict by rational design.