Osmotically Induced Shape Changes in Membrane Vesicles

Avatar
Poster
Voice is AI-generated
Connected to paperThis paper is a preprint and has not been certified by peer review

Osmotically Induced Shape Changes in Membrane Vesicles

Authors

Pereira, R. G.; Mukherjee, B.; Gautam, S.; D'Agnese, M.; Biswas, S.; Meeker, R.; Chakrabarti, B.

Abstract

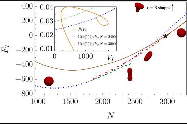
We develop a self-consistent free-energy framework in which membrane shape and osmotic pressure are determined simultaneously in a finite reservoir by minimizing bending elasticity and solute entropy. Solute conservation makes osmotic pressure a thermodynamic variable rather than an externally prescribed parameter, producing a nonlinear coupling between membrane mechanics and solvent entropy. This coupling modifies the classical stability condition for spherical vesicles: instability emerges from global free-energy competition rather than the linear Helfrich stability criterion. The resulting critical pressures differ by orders of magnitude from Helfrich predictions and agree with simulations for small and large unilamellar vesicles. The framework is relevant to cellular environments involving biomolecular condensate confinement as well as synthetic vesicles and the development of osmotic-pressure-driven encapsulation platforms.

Follow Us on

0 comments

Add comment