Broad distributions of sliding times are fingerprints of efficient target search on DNA

Avatar
Poster
Voice is AI-generated
Connected to paperThis paper is a preprint and has not been certified by peer review

Broad distributions of sliding times are fingerprints of efficient target search on DNA

Authors

Rajoria, J.; Pal, A.

Abstract

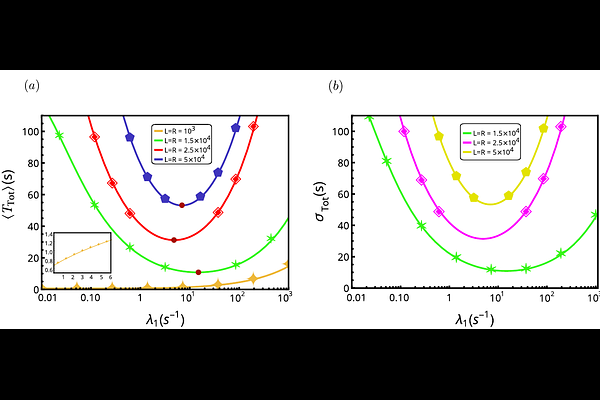
We investigate the target search process by proteins locating specific target sites along DNA, a phenomenon fundamental to biological functions such as gene regulation, transcription, replication, recombination, and gene-editing technologies. This process proceeds through a repetitive sequence of stochastic motions: consisting of one-dimensional (1D) sliding along the DNA contour interspersed with detachment and three-dimensional (3D) excursions in the bulk, and then reattachment to a random location on DNA. Recognizing this sequence of random events as analogous to the resetting processes widely studied in statistical physics, we employ a first-passage-renewal framework and derive general expressions for both the mean and fluctuations of the total search time. Our results are completely generic and do not depend on the detailed microscopic dynamics of either the 1D or 3D phases. Quite interestingly, we find that intermittent detachment can not only accelerate the mean search but can also regulate fluctuations around it. Our analysis reveals a universal fluctuation inequality that links the variability and mean of the sliding time to the mean excursion time, thereby identifying the fundamental conditions under which target search process becomes efficient. Notably, we find that broad distributions of sliding times emerge as a universal characteristic for optimal search efficiency: a feature emanating from the slow dynamics along the DNA. Using the facilitated diffusion mechanism as a representative example, we validate the generality of our results. These findings provide a unified theoretical framework connecting stochastic search, resetting dynamics, and biological efficiency, while also highlighting the crucial role of DNA structure such as its contour length in modulating search performance.

Follow Us on

0 comments

Add comment