On the double-adiabatic equations in the relativistic regime

Avatar
Poster
Voice is AI-generated
Connected to paperThis paper is a preprint and has not been certified by peer review

On the double-adiabatic equations in the relativistic regime

Authors

Francisco Ley, Aaron Tran, Ellen G. Zweibel

Abstract

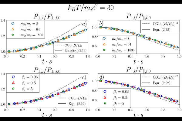
We revisit the double adiabatic evolution equations and extend them to the relativistic and ultrarelativistic regimes. We analytically solve the relativistic, time-dependent drift kinetic equation for a homogeneous, magnetized, collisionless plasma and obtain a solution explicitly dependent on the magnetic field and density variations. In the case of an initial relativistic Maxwellian distribution, a natural extension to an anisotropic Maxwell-Jüttner is obtained. We calculate the moments of this time-dependent solution and obtain analytical expressions for the evolution of the perpendicular and parallel pressures in the ultrarelativistic case. We numerically solve the moment equations in the relativistic case and obtain general expressions for the double-adiabatic equations in this regime. We confirm our results using fully kinetic particle-in-cell simulations of shearing and compressing boxes. Our findings can be readily applied to relativistic species including cosmic-rays and electron-positron pairs, present in astrophysical plasmas like pulsar wind nebulae, astrophysical jets, black hole accretion flows, and Van Allen radiation belts.

Follow Us on

0 comments

Add comment