Physics

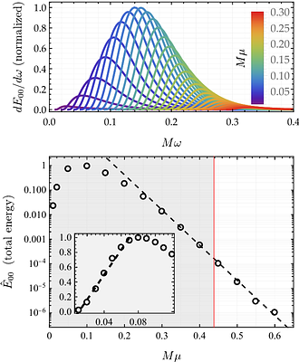
High post-Minkowskian gravitational waveform for hyperbolic encounters in the extreme-mass-ratio limit

High post-Minkowskian gravitational waveform f...

General Relativity and Quantum Cosmology
Avatar
librarian
1 view
Proof-Carrying Materials: Falsifiable Safety Certificates for Machine-Learned Interatomic Potentials
Avatar
librarian
243 views
Optimal control with flag qubits
Avatar
librarian
244 views
Assessing the robustness of amortized simulation-based inference to transient noise in gravitational-wave ringdowns

Assessing the robustness of amortized simulati...

General Relativity and Quantum Cosmology
Avatar
librarian
302 views
Topological field theory plus local Lorentz symmetry is gravity

Topological field theory plus local Lorentz sy...

General Relativity and Quantum Cosmology
Avatar
librarian
244 views
Shifted-geodesic approximation for spinning-body gravitational wave fluxes

Shifted-geodesic approximation for spinning-bo...

General Relativity and Quantum Cosmology
Avatar
librarian
269 views
Reduced phase space induced decay conditions

Reduced phase space induced decay conditions

General Relativity and Quantum Cosmology
Avatar
librarian
253 views
Energy extraction-driven instability and horizon formation in Kerr-Newman naked singularities and their limiting cases

Energy extraction-driven instability and horiz...

General Relativity and Quantum Cosmology
Avatar
librarian
246 views
Gauss-Bonnet scalarization of charged qOS-black holes

Gauss-Bonnet scalarization of charged qOS-blac...

General Relativity and Quantum Cosmology
Avatar
Hong Guo
249 views
Quantum Dynamics of the Schwarzschild Interior in Ashtekar-Barbero Variables with Minimal Length Effects

Quantum Dynamics of the Schwarzschild Interior...

General Relativity and Quantum Cosmology
Avatar
librarian
264 views
Cosmological Spacetimes with Sign-Changing Spatial Curvature and Topological Transitions

Cosmological Spacetimes with Sign-Changing Spa...

General Relativity and Quantum Cosmology
Avatar
librarian
247 views
Ultra-high frequency ultrasound imaging and quantification of microvascular flow in xenograft renal cell carcinoma in an avian chorioallantoic membrane model
Avatar
Emmanuel Cherin
258 views
Holographic dark energy from a new two-parameter entropic functional

Holographic dark energy from a new two-paramet...

General Relativity and Quantum Cosmology
Avatar
G. G. Luciano
255 views
Gravitational waveforms and accretion characteristics in a quantum-corrected black hole without Cauchy horizons

Gravitational waveforms and accretion characte...

General Relativity and Quantum Cosmology
Avatar
Shilong Huang
246 views
Regular Geometries from Singular Matter in Quasi-Topological Gravity

Regular Geometries from Singular Matter in Qua...

General Relativity and Quantum Cosmology
Avatar
librarian
245 views
Kerr Black Hole Ringdown in Effective Field Theory

Kerr Black Hole Ringdown in Effective Field Theory

General Relativity and Quantum Cosmology
Avatar
William Boyce
248 views
Adiabatic evolution of asymmetric binaries on generic orbits with new fundamental fields I: characterization of gravitational wave fluxes

Adiabatic evolution of asymmetric binaries on ...

General Relativity and Quantum Cosmology
Avatar
Sara Gliorio
244 views
Quantum Hypergraph States: A Review
Avatar
librarian
246 views
Extreme mass ratio head-on collisions of black holes in Einstein-scalar-Gauss-Bonnet theory

Extreme mass ratio head-on collisions of black...

General Relativity and Quantum Cosmology
Avatar
librarian
247 views
Self-consistent mean-field quantum approximate optimization
Avatar
Maxime Dupont
255 views
Strong-deflection expansion of the deflection angle near a degenerate photon sphere

Strong-deflection expansion of the deflection ...

General Relativity and Quantum Cosmology
Avatar
librarian
259 views
Globally stable, ghost-free hyperbolic square-root deformation of the Starobinsky model

Globally stable, ghost-free hyperbolic square-...

General Relativity and Quantum Cosmology
Avatar
librarian
265 views
An asymptotic proof of the classical log soft graviton theorem

An asymptotic proof of the classical log soft ...

General Relativity and Quantum Cosmology
Avatar
librarian
251 views
Chaos and fractals of the black hole photon ring

Chaos and fractals of the black hole photon ring

General Relativity and Quantum Cosmology
Avatar
librarian
258 views