Cosmology from asymptotically safe Proca theories

Avatar
Poster
Voice is AI-generated
Connected to paperThis paper is a preprint and has not been certified by peer review

Cosmology from asymptotically safe Proca theories

Authors

Carlos Pastor-Marcos, Lavinia Heisenberg, Álvaro Pastor-Gutiérrez, Jan M. Pawlowski, Manuel Reichert

Abstract

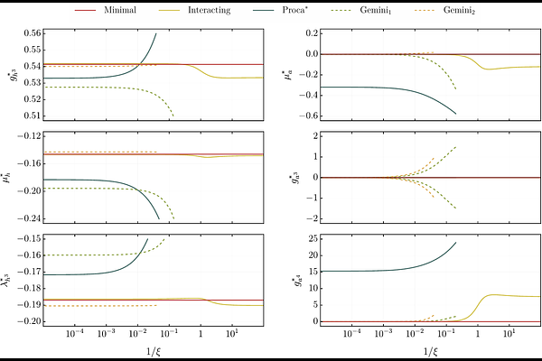
Effective field theories for cosmology offer a powerful framework to investigate the dynamics of space--time and address longstanding open puzzles. In this work, we initiate a programme to analyse the ultraviolet completion of vector--tensor quantum field theories within the asymptotic safety paradigm, focusing on generalised Proca theories with a vector condensate. This enables us to assess whether a consistent fundamental UV completion exists and to constrain the set of viable infrared scenarios. Using the non--perturbative functional renormalisation group, we identify several fixed points, including Proca--type candidates, and, among them, a particularly remarkable one with four relevant directions: two associated with gravity and two induced by matter. This provides evidence for the non--perturbative renormalisability of vector--tensor theories. We further outline how the resulting UV critical surface constrains late--time cosmology.

Follow Us on

0 comments

Add comment