Including higher-order modes in a quadrupolar eccentric numerical relativity surrogate using universal eccentric modulation functions

Avatar
Poster
Voice is AI-generated
Connected to paperThis paper is a preprint and has not been certified by peer review

Including higher-order modes in a quadrupolar eccentric numerical relativity surrogate using universal eccentric modulation functions

Authors

Tousif Islam, Adhrit Ravichandran, Peter James Nee, Scott E. Field, Vijay Varma, Harald P. Pfeiffer, Andrea Ceja, Noora Ghadiri, Lawrence E. Kidder, Prayush Kumar, Marlo Morales, Abhishek Ravishankar, Antoni Ramos-Buades, Katie Rink, Hannes R. Ruter, Mark A. Scheel, Md Arif Shaikh, Daniel Tellez

Abstract

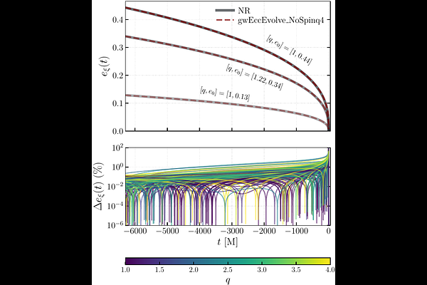
\texttt{gwNRHME} is a framework that converts multi-modal (i.e., containing several spherical harmonic modes) quasi-circular waveforms into their eccentric counterparts, provided the quadrupolar eccentric mode is known, by exploiting universal eccentric modulation functions. Leveraging this framework, we combine the quasi-circular NR surrogate model \texttt{NRHybSur3dq8} with the quadrupolar, non-spinning, eccentric surrogate \texttt{NRSurE\_q4NoSpin\_22} to construct a multi-modal, non-spinning, eccentric model, denoted as \model{}, which includes nine modes: $(2,\{1,2\})$, $(3,\{1,2,3\})$, $(4,\{2,3,4\})$, and $(5,5)$. When compared against 156 eccentric SXS NR waveforms, \model{} achieves median frequency-domain mismatches (computed using the Advanced LIGO design sensitivity) of $\sim 9\times 10^{-5}$, with a standard deviation of $\sim 2 \times 10^{-4}$. To demonstrate the modularity of the framework, we further combine \texttt{NRSurE\_q4NoSpin\_22} with effective-one-body (EOB) models \texttt{SEOBNRv5HM} and \texttt{TEOBResumS-Dali} in their non-spinning limits, yielding eccentric waveforms with median mismatches of $\sim 2\times10^{-4}$ and $\sim 10^{-3}$, respectively, with standard deviation of $\sim 2 \times 10^{-3}$ and $\sim 2 \times 10^{-2}$ respectively. Finally, we provide both a surrogate model, \texttt{gwEccEvolve\_q4NoSpin\_Sur}, and an analytical model, \texttt{gwEccEvNSv2}, for the eccentricity evolution up to $2M$ before merger, based on eccentricity definitions derived from the universal modulation functions. The \texttt{gwNRHME} framework is publicly available through the \texttt{gwModels} package, and the resulting waveform models will be released via the \texttt{gwsurrogate} package.

Follow Us on

0 comments

Add comment