What Shape is the Inflationary Bispectrum?

Avatar
Poster
Voice is AI-generated
Connected to paperThis paper is a preprint and has not been certified by peer review

What Shape is the Inflationary Bispectrum?

Authors

Oliver H. E. Philcox

Abstract

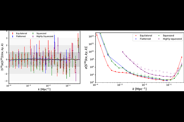
Non-linear interactions during inflation generate non-Gaussianities in the distribution of primordial curvature. In many theories, the physics is scale-invariant, such that the induced three-point function depends solely on a dimensionless shape function $S(x,y)\sim k^6B_ζ(kx,ky,k)$. To confront such models with observations, one typically builds specialized estimators for each shape, then applies them to cosmic microwave background datasets at significant computational expense. In this Letter, we take a different approach, directly reconstructing $S(x,y)$ from observations using an efficient logarithmically-binned estimator in primordial-space (motivated by the modal program). Applying this to temperature and polarization maps from Planck, we obtain high-resolution shape measurements across the full $(x,y)$-plane, including squeezed limits. Our approach is close-to-optimal, highly interpretable, and preserves the information content on (optimally-analyzed) standard templates within $\approx 10\%$; moreover, we can use it to assess the scale-dependence of our constraints, finding that Planck is sensitive to $\approx 6$ $e$-folds of non-Gaussian evolution with a peak sensitivity around $0.1h\,\mathrm{Mpc}^{-1}$. Since we work directly in shape-space, data and theory can be compared in milliseconds. As an example, we perform a search for massive particle exchange using a suite of over $20\,000$ theoretical templates computed with exact bootstrap methods (for the first time) across a wide range of masses, spins, and sound-speeds; the spin-two analysis yields a maximum significance of $2.6σ$. Our approach can be used to probe a wide range of scale-invariant models in orders-of-magnitude less time than with direct estimators, allowing the inflationary paradigm to be explored in new ways.

Follow Us on

0 comments

Add comment