Unveiling Hidden Clustering: An Unsupervised Machine Learning Study of Repeating FRB 20220912A

Avatar
Poster
Voice is AI-generated
Connected to paperThis paper is a preprint and has not been certified by peer review

Unveiling Hidden Clustering: An Unsupervised Machine Learning Study of Repeating FRB 20220912A

Authors

An-Chieh Hsu, Tetsuya Hashimoto, Tomotsugu Goto, Tomoki Wada, Bjorn Jasper Raquel

Abstract

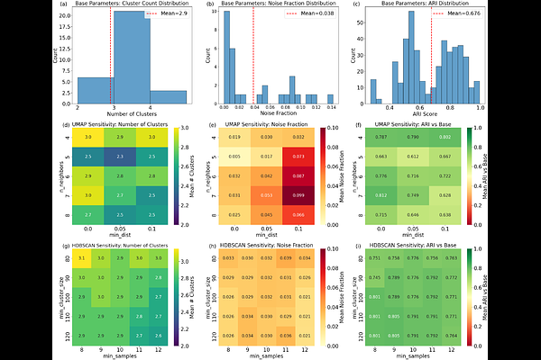
Fast Radio Bursts (FRBs) are millisecond-duration radio transients of extragalactic origin. Classifying repeating FRBs is essential for understanding their emission mechanisms, but remains challenging due to their short durations, high variability, and increasing data volume. Traditional methods often rely on subjective criteria and struggle with high-dimensional data. In this study, we apply an unsupervised machine learning framework that combines Uniform Manifold Approximation and Projection (UMAP) and Hierarchical Density-Based Spatial Clustering of Applications with Noise (HDBSCAN) to eight observed parameters from FRB 20220912A. Our analysis reveals three distinct clusters of bursts with varying spectral and fluence properties. Comparisons with clustering studies on other repeaters show that some of our clusters share similar features with sources such as FRB 20201124A and FRB 121102, suggesting possible common emission mechanisms. We also provide qualitative interpretations for each cluster, highlighting the spectral diversity within a single source. Notably, one cluster shows broadband emission and high fluence, which are typically seen in non-repeating FRBs. This raises the possibility that some non-repeaters may be misclassified repeaters due to observational limitations. Our results demonstrate the utility of machine learning in uncovering intrinsic diversity in FRB emission and provide a foundation for future classification studies.

Follow Us on

0 comments

Add comment