Halo assembly bias in the early Universe: a clustering probe of the origin of the Little Red Dots

Avatar
Poster
Voice is AI-generated
Connected to paperThis paper is a preprint and has not been certified by peer review

Halo assembly bias in the early Universe: a clustering probe of the origin of the Little Red Dots

Authors

Zihao Wang, Fangzhou Jiang, Haonan Zheng, Xuejian Shen, Zixiang Jia, Luis C. Ho, Kohei Inayoshi, Linhua Jiang

Abstract

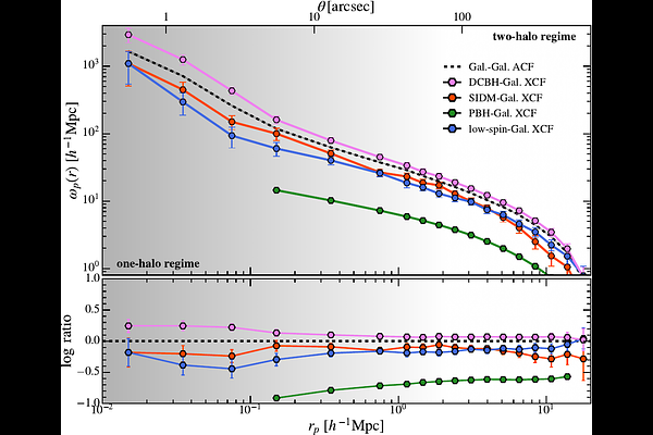
The clustering of galaxies encodes key information about the structure and assembly history of their host dark matter (DM) haloes, providing a powerful probe of the origin of extreme high-redshift systems. While halo assembly bias has been extensively studied at low redshift, its behavior in the early Universe remains poorly explored. Using the large-volume, high-resolution Shin-Uchuu cosmological $N$-body simulation, we characterize halo assembly bias associated with formation time, concentration, and angular momentum across a wide range of halo masses and redshifts. We find that the sign and amplitude of assembly bias depend on halo mass for both concentration and spin. High-concentration and low-spin haloes are more strongly clustered below characteristic peak heights of $ν\sim 1.5$ and $\sim 0.75$, respectively, while the trends weaken or reverse at higher masses. Halo age bias persists at all redshifts but decreases toward higher masses and earlier cosmic times. We apply these results to assess whether clustering can distinguish competing formation scenarios for the Little Red Dots (LRDs). We find that the direct-collapse-black-hole (DCBH) scenario predicts the strongest large-scale bias and enhanced pair fractions, the self-interacting-dark-matter (SIDM) core-collapse scenario and low-spin compact-galaxy scenarios yield weaker clustering due to lower characteristic halo masses and spin-related secondary bias, and a primordial-black-hole (PBH) scenario predicts unbiased clustering. Our results demonstrate that halo assembly bias and characteristic host masses provide powerful diagnostics for constraining the physical origin of LRDs, offering testable predictions for upcoming clustering measurements with JWST and future deep surveys.

Follow Us on

0 comments

Add comment