Statistical Validation and Vetting of Exoplanet Candidate TOI 7475.01

Avatar
Poster
Voice is AI-generated
Connected to paperThis paper is a preprint and has not been certified by peer review

Statistical Validation and Vetting of Exoplanet Candidate TOI 7475.01

Authors

Biel Escolà-Rodrigo

Abstract

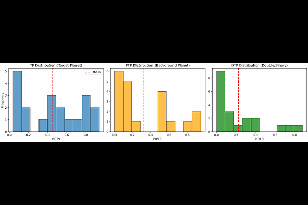
We present a comprehensive validation analysis of the exoplanet candidate TOI 7475.01 (TIC 376866659), detected by the TESS mission. Using a custom pipeline combining natural flux preservation with robust BLS detection, we identified a transit signal with a period of $3.2538$ days and a depth of $\sim 4600$ ppm. To rule out false positives, we performed centroid analysis, spatial contamination checks using Gaia DR3, and a statistical validation using triceratops. Our results show a Signal-to-Noise Ratio (SNR) of 294.13 and a False Positive Probability (FPP) of $\approx 0$. Based on the clean spatial environment, stable centroids, and high statistical probability, we validate TOI 7475.01 as a planetary companion.

Follow Us on

0 comments

Add comment