How Bursty is Star Formation at z>5?

Avatar
Poster
Voice is AI-generated
Connected to paperThis paper is a preprint and has not been certified by peer review

How Bursty is Star Formation at z>5?

Authors

Massimo Stiavelli, Massimo Ricotti

Abstract

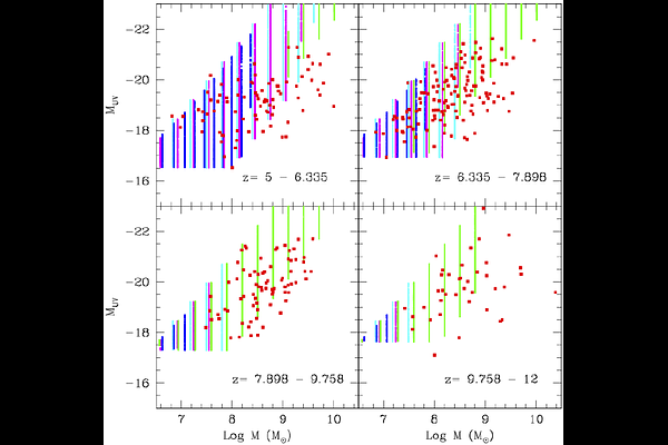
Motivated by observational evidence from JWST and theoretical results from cosmological simulations, we use a simple parametric, phenomenological model to test to what extent bursty star formation with standard Initial Mass Function, no continuous star formation, no mergers, \mr{and no dust} can account for the observed properties in the $M_{UV}$ vs $M_*$ plane of galaxies at redshifts $z>5$. We find that the simplest model that fits the data has a quiescence period between bursts $Δt \sim 100$~Myrs and the stellar mass in each galaxy grows linearly as a function of time from $z=12$ to $z=5$ (i.e., repeated bursts in each galaxy produce approximately equal mass in stars). The distribution of burst masses across different galaxies follows a power-law $dN/dM_* \propto M_*^α$ with slope $α\sim -2$. At $z>9-10$ the observed galaxy population typically had only one or two bursts of stars formation, hence the observed stellar masses at these redshifts (reaching $M_* \sim 10^{10}$~M$_\odot$), roughly represent the distribution of masses formed in one burst.

Follow Us on

0 comments

Add comment