Tracing the Trace Anomaly of Dense Matter inside Neutron Stars

Avatar
Poster
Voice is AI-generated
Connected to paperThis paper is a preprint and has not been certified by peer review

Tracing the Trace Anomaly of Dense Matter inside Neutron Stars

Authors

Shiyue Ren, Lap-Ming Lin

Abstract

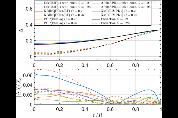
The trace anomaly $Δ$ is an important quantity that measures the broken conformal symmetry in neutron star matter. In this work, we present quasi-universal relations that connect the stellar profile of $Δ$ to the compactness, moment of inertia, and tidal deformability of neutron stars. We apply the quasi-universal relations to determine the trace anomaly profiles for PSR J0030+0451 and PSR J0740+6620 based on their mass-radius measurements. We also analyze PSR J0737-3039A according to its moment of inertia inferred from Bayesian modeling of nuclear equation of state. A recent multimessenger constraint on the tidal deformability is also studied, resulting in an estimate value of the trace anomaly $Δ_c = 0.1770^{+0.0365}_{-0.0432}$ at the center of a $1.4M_\odot$ canonical neutron star. It is expected that more precise observations from both electromagnetic and gravitational-wave channels in the future will provide tighter constraints on the behavior of $Δ$ inside neutron stars.

Follow Us on

0 comments

Add comment