A likelihood analysis for gamma-ray background models

Avatar
Poster
Voice is AI-generated
Connected to paperThis paper is a preprint and has not been certified by peer review

A likelihood analysis for gamma-ray background models

Authors

Chance Hoskinson, Jason Kumar, Pearl Sandick

Abstract

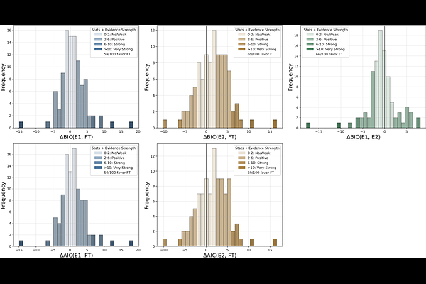
Indirect searches for dark matter using dwarf spheroidal galaxies are limited by systematic uncertainties in modeling diffuse gamma-ray backgrounds. We present a likelihood-based comparison of locally constructed empirical background models and theoretically-motivated models that incorporate the Fermi-LAT diffuse background. The empirical models we study include both an independent-binning approach and a covariance-based approach that captures cross-energy correlations. Using ensembles of blank-sky regions and information criteria which account for model complexity, we find that empirical background descriptions provide a statistically competitive fit to gamma-ray data on degree scales in high-latitude regions.

Follow Us on

0 comments

Add comment